• 結合 の検索結果

結合」のITパスポート過去問一覧

人気のキーワード

「結合」の説明

データベース操作における「結合」は、二つ以上のテーブルから関連するデータを組み合わせて一つの結果セットを作成する操作です。この操作は主にSQLのJOIN句を使用して行われ、異なるテーブルの関連する列に基づいて行われます。

「結合」の検索結果

(20件)

20件の過去問が検索により見つかりました。

ソフトウェア開発における, テストに関する記述 a ~c とテスト工程の適切な組合せはどれか

a 運用予定時間内に処理が終了することを確認する。
b ソフトウェア間のインタフェースを確認する。
c プログラムの内部パスを網羅的に確認する。

ソフトウェア開発における, テストに関する記述 a ~c とテスト工程の適切な組合せはどれか

a 運用予定時間内に処理が終了することを確認する。 
b ソフトウェア間のインタフェースを確認する。 
c プログラムの内部パスを網羅的に確認する。 の画像
令和5年度 ITパスポート試験 問42

納入されたソフトウェアの一連のテストの中で,開発を発注した利用者が主体となって実施するテストはどれか。

令和2年度 10月 ITパスポート試験 問36

ニューラルネットワークに関する記述として, 最も適切なものはどれか。

令和5年度 ITパスポート試験 問74

関係データベースを構成する要素の関係を表す図において,図中のa〜cに入れる字句の適切な組合せはどれか。

関係データベースを構成する要素の関係を表す図において,図中のa〜cに入れる字句の適切な組合せはどれか。の画像
令和6年度 ITパスポート試験 問60

関係データベースで管理している“従業員”表から,氏名の列だけを取り出す操作を何というか。

関係データベースで管理している“従業員”表から,氏名の列だけを取り出す操作を何というか。 の画像
令和4年度 ITパスポート試験 問98

AI に利用されるニューラルネットワークにおける活性化関数に関する記述として適切なものはどれか。

令和5年度 ITパスポート試験 問91

関係データベースの“社員”表と“部署”表がある。“社員”表と“部署”表を結合し,社員の住所と所属する部署の所在地が異なる社員を抽出する。抽出される社員は何人か。

関係データベースの“社員”表と“部署”表がある。“社員”表と“部署”表を結合し,社員の住所と所属する部署の所在地が異なる社員を抽出する。抽出される社員は何人か。の画像
平成31年度 春期 ITパスポート試験 問78

ディープラーニングを構成する技術の一つであり,人間の脳内にある神経回路を数学的なモデルで表現したものはどれか。

令和2年度 10月 ITパスポート試験 問19

関係データベースにおいて,表Aと表Bの積集合演算を実行した結果はどれか。

関係データベースにおいて,表Aと表Bの積集合演算を実行した結果はどれか。 の画像
令和2年度 10月 ITパスポート試験 問73

トランザクション処理におけるコミットの説明として,適切なものはどれか。

令和5年度 ITパスポート試験 問66

システムの利用者と開発者の間で,システムの設計書の記載内容が利用者の要求を満たしていることを確認するために実施するものはどれか。

平成31年度 春期 ITパスポート試験 問51

複数の企業が,研究開発を共同で行って新しい事業を展開したいと思っている。共同出資によって,新しい会社を組織する形態として,適切なものはどれか。

令和2年度 10月 ITパスポート試験 問17

AIの関連技術であるディープラーニングに用いられる技術として,最も適切なものはどれか。

令和6年度 ITパスポート試験 問95

売上伝票のデータを関係データベースの表で管理することを考える。売上伝票の表を設計するときに,表を構成するフィールドの関連性を分析し,データの重複及び不整合が発生しないように,複数の表に分ける作業はどれか。

令和元年度 秋期 ITパスポート試験 問87

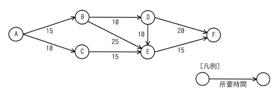
あるプロジェクトの作業間の関係と所要時間がアローダイアグラムで示されている。このアローダイアグラムのBからEの四つの結合点のうち,工程全体の完了時間に影響を与えることなく,その結合点から始まる全ての作業の開始を最も遅らせることができるものはどれか。ここで,各結合点から始まる作業はその結合点に至る作業が全て完了するまで開始できず,作業から次の作業への段取り時間は考えないものとする。

あるプロジェクトの作業間の関係と所要時間がアローダイアグラムで示されている。このアローダイアグラムのBからEの四つの結合点のうち,工程全体の完了時間に影響を与えることなく,その結合点から始まる全ての作業の開始を最も遅らせることができるものはどれか。ここで,各結合点から始まる作業はその結合点に至る作業が全て完了するまで開始できず,作業から次の作業への段取り時間は考えないものとする。の画像
令和6年度 ITパスポート試験 問41

データを行と列から成る表形式で表すデータベースのモデルはどれか。

令和4年度 ITパスポート試験 問83

A 社で新規にシステムを開発するプロジェクトにおいて, システムの開発をシステム要件定義,設計,プログラミング,結合テスト, 総合テスト,運用テストの順に行う。 A 社は,外部ベンダの B 社と設計,プログラミング及び結合テストを委託範囲とする請負契約を結んだ。 A 社が実施する受入れ検収はどの工程とどの工程の間で実施するのが適切か。

令和3年度 ITパスポート試験 問43

Web サービスなどにおいて, 信頼性を高め,かつ,利用者からの多量のアクセスを処理するために, 複数のコンピュータを連携させて全体として一つのコンピュータであるかのように動作させる技法はどれか。

令和5年度 ITパスポート試験 問70

関係データベースにおける結合操作はどれか。

令和5年度 ITパスポート試験 問100

システム開発プロジェクトにおいて,利用者から出た要望に対応するために,プログラムを追加で作成することになった。このプログラムを作成するために,先行 するプログラムの作成を終えたプログラマを割り当てることにした。そして,結合 テストの開始予定日までに全てのプログラムが作成できるようにスケジュールを変更し,新たな計画をプロジェクト内に周知した。このように,変更要求をマネジメントする活動はどれか。

令和3年度 ITパスポート試験 問42

最短合格を目指すならこの教材がおすすめ!

ITパスポート便利ツール

ITパスポートに関連する記事

人気のキーワード

よく検索されている、もしくはよく出題されているキーワードをピックアップしました。

CA(47) |
ip(45) |
EC(44) |
OS(42) |
EA(26) |
CI(24) |
BI(12) |
if(12) |
CRM(9) |
ERP(9) |
RAM(9) |
RPA(9) |
SQL(9) |
TOC(9) |
Dos(8) |
BPM(7) |
BPR(7) |
CAD(7) |
DFD(7) |
DNS(7) |
NDA(7) |
POP(7) |
PPM(7) |
SFA(7) |
SSD(7) |
VPN(7) |
XP(7) |
mac(7) |
EU(7) |
AND(6) |
BCP(6) |
FAQ(6) |
ISO(6) |
MDM(6) |
RFP(6) |
SCM(6) |
SDN(6) |
USB(6) |
APT(6) |
vr(6) |

おすすめ教材

ITパスポートの短期合格を目指す方におすすめの教材です

ITパスポート 対策講座最短合格セット

おすすめ記事

ITパスポートを受験する方におすすめの記事です

【最短合格】ITパスポート試験に挑む人が知るべきおすすめ勉強方法 【独学合格】ITパスポートおすすめテキストと勉強法 ITパスポートに落ちた!原因と対策、勉強法を徹底解説!

ITパスポート便利ツール

ITパスポートに関連する記事

人気のキーワード

よく検索されている、もしくはよく出題されているキーワードをピックアップしました。

CA(47) |
ip(45) |
EC(44) |
OS(42) |
EA(26) |
CI(24) |
BI(12) |
if(12) |
CRM(9) |
ERP(9) |
RAM(9) |
RPA(9) |
SQL(9) |
TOC(9) |
Dos(8) |
BPM(7) |
BPR(7) |
CAD(7) |
DFD(7) |
DNS(7) |
NDA(7) |
POP(7) |
PPM(7) |
SFA(7) |
SSD(7) |
VPN(7) |
XP(7) |
mac(7) |
EU(7) |
AND(6) |
BCP(6) |
FAQ(6) |
ISO(6) |
MDM(6) |
RFP(6) |
SCM(6) |
SDN(6) |
USB(6) |
APT(6) |
vr(6) |

ITパスポートTOP

TOP

おすすめ教材

ITパスポート 対策講座最短合格セット

おすすめ記事

【最短合格】ITパスポート試験に挑む人が知るべきおすすめ勉強方法 【独学合格】ITパスポートおすすめテキストと勉強法 ITパスポートに落ちた!原因と対策、勉強法を徹底解説!